Free Printable Executor Of Estate Form

Handling an estate can be a daunting task, especially when it comes to managing paperwork. One essential document you might need is the executor of estate form. This form helps streamline the process and ensures everything is in order.

Many people are unaware that they can find free resources online to assist them. Utilizing a free printable executor of estate form can save time and reduce stress during an already challenging period.

free printable executor of estate form

free printable executor of estate form

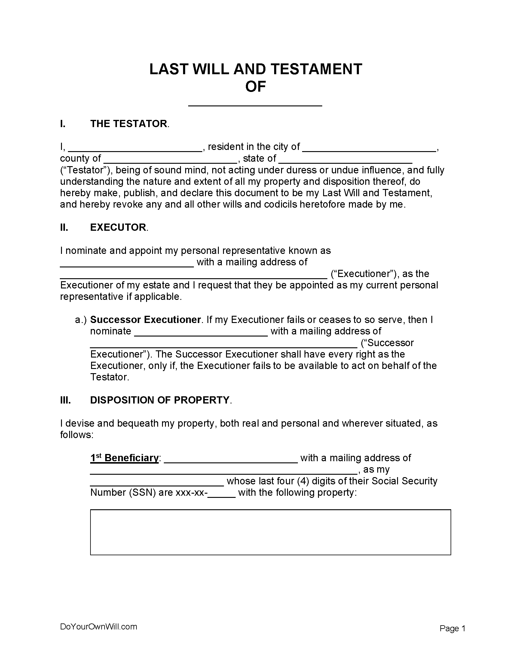
Free Printable Executor of Estate Form

Finding a reliable free printable executor of estate form is easier than you think. Numerous websites offer templates that you can download and fill out at your convenience. This accessibility makes it simple for anyone to get started.

When using these forms, ensure they comply with your state’s legal requirements. Each state may have specific rules regarding the information needed and how the form should be filled out. Double-checking this can prevent future complications.

Once you have the correct form, take your time filling it out. Accuracy is crucial, as any mistakes could lead to delays in the estate settlement process. If you’re unsure about any section, consider seeking legal advice.

After completing the executor of estate form, keep copies for your records. This practice not only helps you stay organized but also provides proof of your actions if needed later on.

Managing an estate can feel overwhelming, but using a free printable executor of estate form simplifies the process. With the right tools and resources, you can navigate this journey with confidence and ease.

Free Small Estate Affidavit Forms PDF Word

Free Small Estate Affidavit Forms PDF Word

Free Probate Waiver And Consent Form PDF Word

Free Probate Waiver And Consent Form PDF Word

Free Small Estate Affidavit Form PDF Word EForms

Free Small Estate Affidavit Form PDF Word EForms

Free Letter Of Appointment Of Executor Template Rocket Lawyer

Free Letter Of Appointment Of Executor Template Rocket Lawyer

Leave a Comment