Creating a last will is an essential step in ensuring your wishes are honored after you pass away. Many people find the process daunting, but it doesn’t have to be complicated or expensive. With the right resources, you can simplify this task.
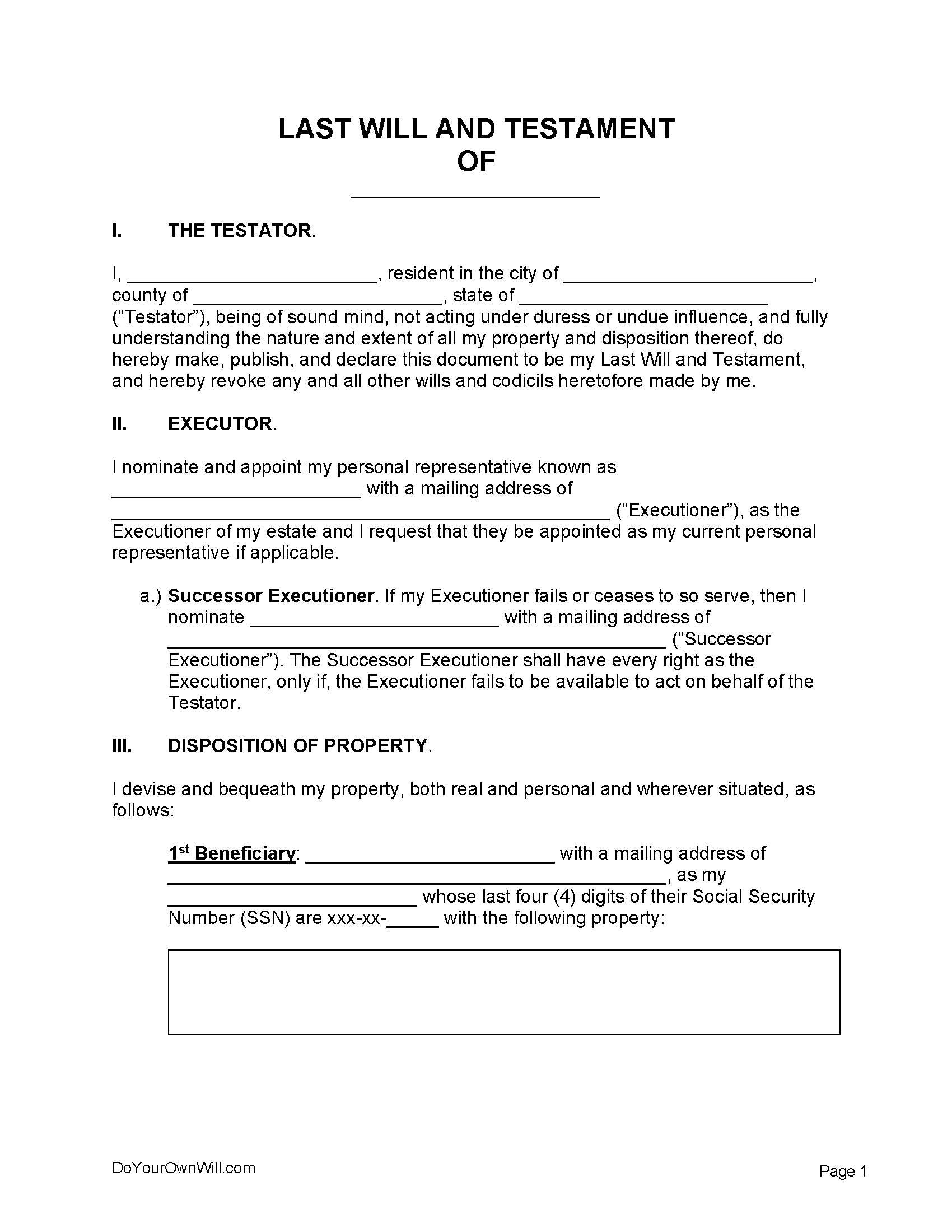
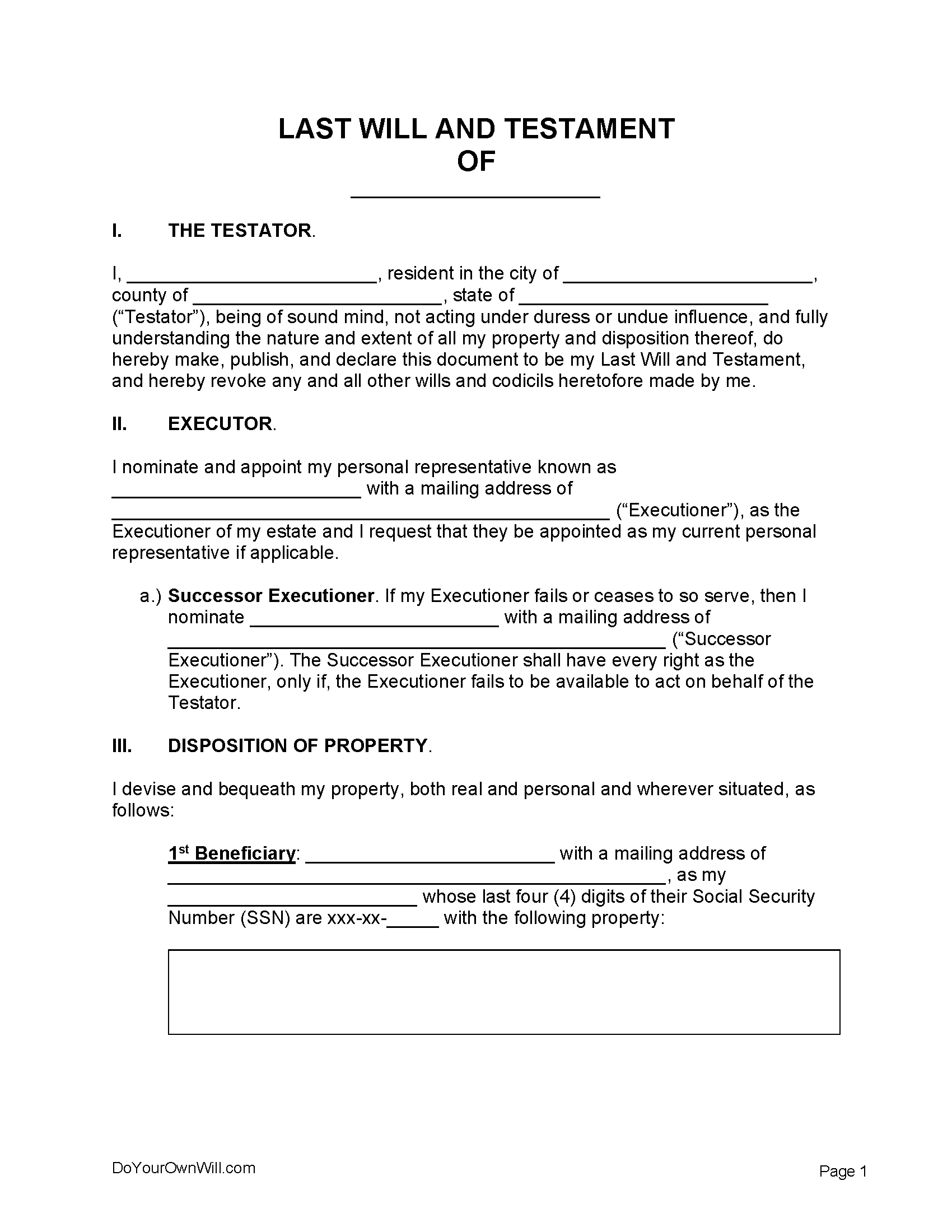
One of the best ways to get started is by using free printable last will forms. These forms provide a straightforward template that can guide you through the necessary steps to create a legally binding document. They are easy to find and even easier to use.
free printable last will forms
Free Printable Last Will Forms
Free printable last will forms are available online, making them accessible for everyone. These templates often include sections for your assets, beneficiaries, and any specific wishes you may have. This ensures that your loved ones understand your intentions clearly.
Using these forms can save you time and money compared to hiring a lawyer. While legal advice is beneficial for complex situations, many individuals can create a valid will using these templates without professional help. Just ensure you follow the instructions carefully.
Once you’ve filled out your free printable last will form, it’s crucial to sign it in front of witnesses as required by your state laws. This step adds legitimacy to your document and helps prevent any disputes among family members later on.
In addition to wills, many websites offer other estate planning documents for free. These can include power of attorney forms and living wills, which are equally important in managing your affairs and healthcare decisions.
Taking the time to create a last will is a thoughtful way to care for your loved ones. By utilizing free printable last will forms, you can ensure that your wishes are documented clearly and effectively, providing peace of mind for everyone involved.
Free Living Will Forms PDF Word
Free Last Will And Testament Form PDF WORD ODT
39 Last Will And Testament Forms Templates TemplateLab
Free Last Will And Testament Template Templates 2 PDF Word