Printable Last Will And Testament Forms

Creating a last will and testament is an essential step in ensuring your wishes are honored after you pass away. Many people find the process daunting, but it can be straightforward with the right resources. Understanding your options can make this task much easier.

Printable last will and testament forms are a convenient way to draft your will without needing extensive legal knowledge. These forms can help you outline your wishes clearly and ensure that your loved ones are taken care of according to your desires.

printable last will and testament forms

printable last will and testament forms

Printable Last Will and Testament Forms

Using printable last will and testament forms allows you to customize your will based on your specific needs. You can choose how to distribute your assets, appoint guardians for minor children, and name an executor to manage your estate. This flexibility is crucial for many individuals.

Many online resources offer free or low-cost printable forms that comply with state laws. It’s important to select a form that meets your jurisdiction’s requirements to ensure its validity. Always double-check the guidelines in your state before finalizing your document.

Once you have filled out the printable last will and testament forms, it’s essential to sign them in front of witnesses, as required by law. This step adds an extra layer of legitimacy to your will, making it more likely to be upheld in court if necessary.

Regularly reviewing and updating your will is also vital, especially after significant life changes such as marriage, divorce, or the birth of a child. Keeping your will current ensures that it reflects your latest wishes and circumstances.

Taking the time to create a last will and testament using printable forms can provide peace of mind for you and your family. By clearly outlining your wishes, you help avoid confusion and potential disputes among loved ones in the future.

39 Last Will And Testament Forms Templates TemplateLab

39 Last Will And Testament Forms Templates TemplateLab

Last Will And Testament Template Will Forms In PDF And DOC

Last Will And Testament Template Will Forms In PDF And DOC

Free Last Will And Testament Template Templates 2 PDF Word

Free Last Will And Testament Template Templates 2 PDF Word

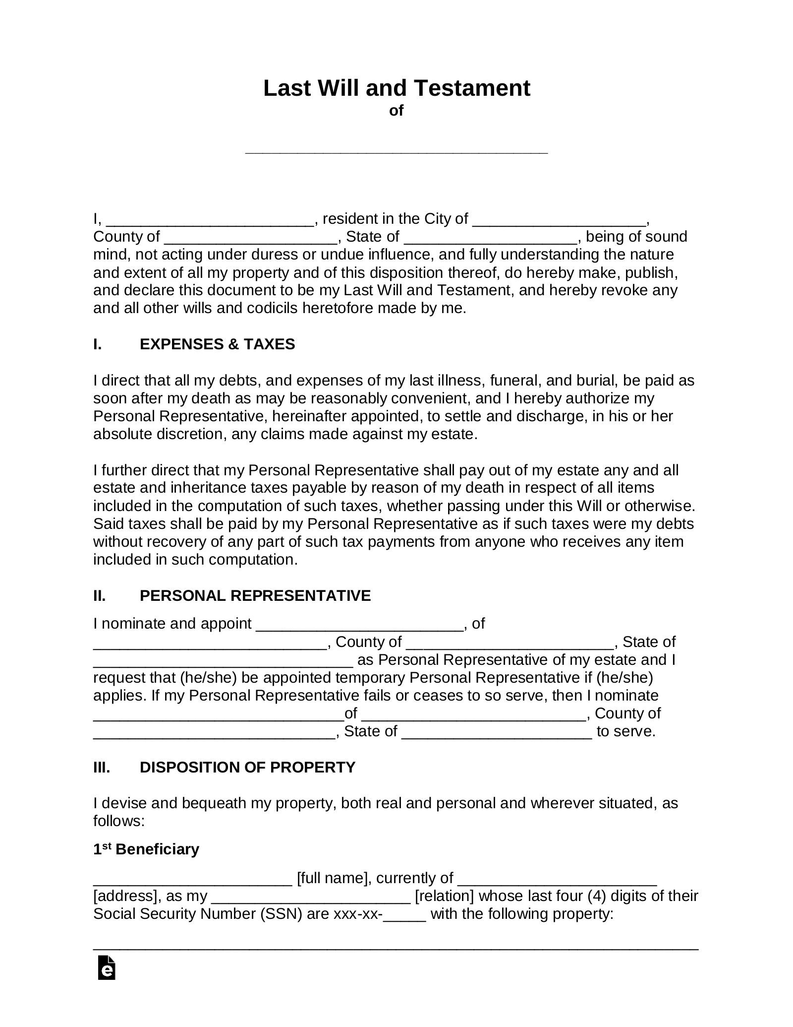
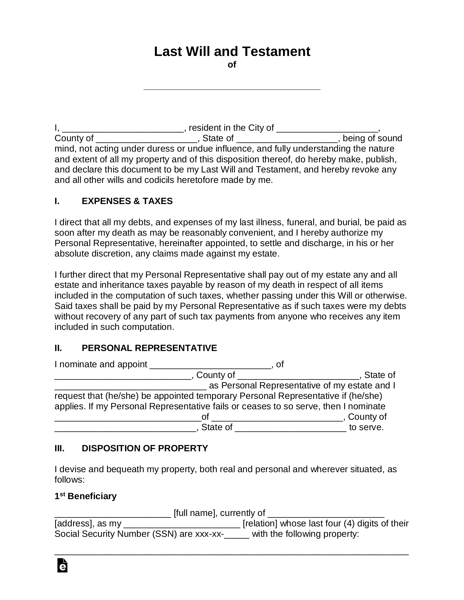
Free Last Will And Testament Will PDF Word EForms

Free Last Will And Testament Will PDF Word EForms

Leave a Comment