Creating a power of attorney can seem overwhelming, but it doesn’t have to be. With the right resources, you can easily manage this important legal document without breaking the bank. Many people are looking for ways to simplify the process.
One of the best options available is to use free power attorney forms printable online. These forms provide a straightforward way to establish authority over financial or medical decisions, ensuring your wishes are respected when you can’t speak for yourself.
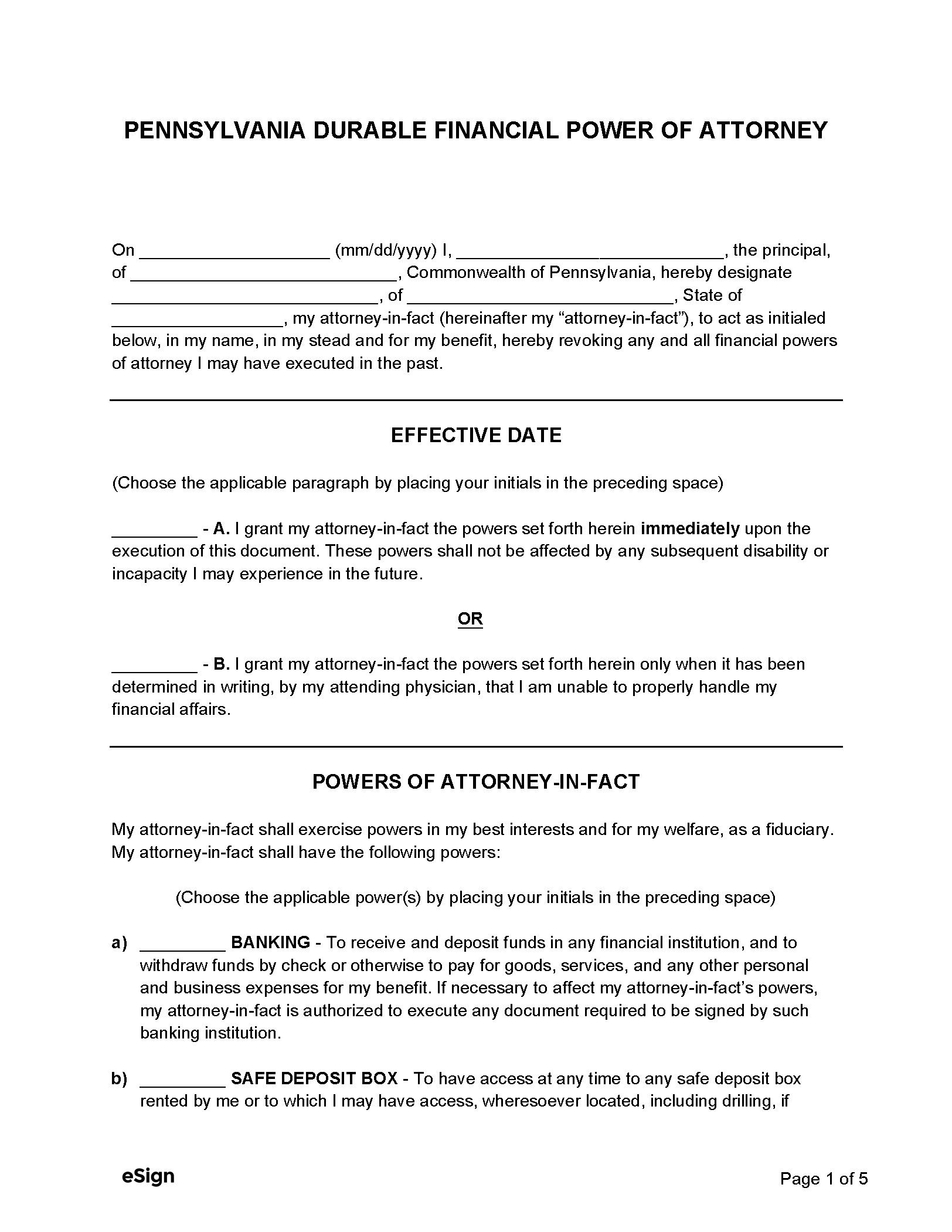
free power attorney forms printable
Free Power Attorney Forms Printable
Free power attorney forms printable are widely available and can save you time and money. They often come with clear instructions, making it easy for anyone to fill them out correctly. This accessibility is crucial for those who may not have legal expertise.
When using these forms, ensure they comply with your state’s laws. Each state has specific requirements regarding signatures and notarization. Checking these details will help avoid any issues when the document is needed.
Additionally, consider customizing the forms to fit your unique situation. Whether you need a general power of attorney or a medical one, tailoring the document ensures it meets your specific needs and preferences.
Once completed, store your power of attorney documents in a safe place. Inform trusted family members or friends about its location so they can access it when necessary. This step is vital for ensuring your wishes are honored.
Utilizing free power attorney forms printable can simplify a complex process. By taking advantage of these resources, you can ensure that your legal affairs are in order without unnecessary stress or expense.
Free California Power Of Attorney Forms PDF Word
Get Free Power Of Attorney Forms Fillable POA Templates
Free Limited Special Power Of Attorney Form PDF Word EForms
Free Power Of Attorney Forms PDF Word