Free Printable Power Of Attorney Forms

Creating a power of attorney can seem daunting, but it doesn’t have to be. With the right resources, you can easily manage your legal affairs without unnecessary stress. Understanding the basics is key to making informed decisions.

Many people are unaware that free printable power of attorney forms are readily available online. These forms can save you time and money while ensuring that your legal documents are properly prepared. It’s a simple way to take control of your future.

free printable power of attorney forms

free printable power of attorney forms

Free Printable Power of Attorney Forms

Free printable power of attorney forms come in various types, including general, durable, and medical. Each type serves a different purpose, so it’s essential to choose the one that fits your needs best. Researching these options can help clarify your choices.

When using free printable power of attorney forms, ensure they comply with your state’s laws. Each state has specific requirements regarding signatures and notarization. Taking the time to verify these details can prevent future complications.

Filling out these forms is straightforward. Most templates guide you through the necessary information, such as the principal’s name and the agent’s authority. Be sure to read each section carefully to avoid any mistakes.

Once completed, it’s crucial to distribute copies of the power of attorney to relevant parties. This may include banks, healthcare providers, or family members. Keeping everyone informed helps ensure your wishes are respected when needed.

Utilizing free printable power of attorney forms is an efficient way to manage your legal affairs. By understanding your options and following the necessary steps, you can create a document that meets your needs with ease.

Get Free Power Of Attorney Forms Fillable POA Templates

Get Free Power Of Attorney Forms Fillable POA Templates

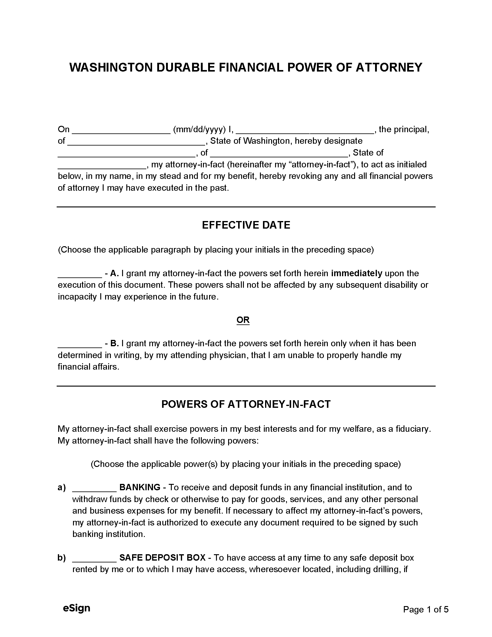
Free Washington Durable Power Of Attorney Form PDF Word

Free Washington Durable Power Of Attorney Form PDF Word

Free Power Of Attorney Forms PDF Word

Free Power Of Attorney Forms PDF Word

Free Limited Special Power Of Attorney Form PDF Word EForms

Free Limited Special Power Of Attorney Form PDF Word EForms

Leave a Comment